首页
全部课程
初中
小升初
小学
高中
高考
会员特权
精选文章
帮助中心
首页
>
全部课程
> 课程列表
分类:
全部
初中
小升初
小学
高中
高考
类型:
全部
文章资源
视频资源
网盘资源
视频课程
音频课程
卡密资源
等级:
全部
高级
人教版
浙教版
北师版
苏教版
在线下载
性质:
全部
免费
付费
期中素养测评答案,,
期末试卷
¥203.00
¥203.00
91人浏览
期中素养测评,,
期末试卷
¥389.00
¥389.00
87人浏览
期末素养测评答案,,
期末试卷
¥307.00
¥307.00
70人浏览
期末素养测评,,
期末试卷
¥358.00
¥358.00
71人浏览
七年级(下)期末数学试卷(培优卷)(浙教版2024)(原卷版)
期末试卷
¥124.00
¥124.00
95人浏览
七年级(下)期末数学试卷(培优卷)(浙教版2024)(解析版)
期末试卷
¥236.00
¥236.00
85人浏览
【考点训练】重难点01 相交线与平行线热考模型
期中专项
¥465.00
¥465.00
99人浏览
【知识清单】专题01 相交线
期中专项
¥394.00
¥394.00
89人浏览
【知识清单】专题02 平行线的性质与判定
期中专项
¥144.00
¥144.00
82人浏览
【知识清单】专题03 平移
期中专项
¥250.00
¥250.00
93人浏览
【知识清单】专题04 二元一次方程(组)的基础
期中专项
¥305.00
¥305.00
83人浏览
【知识清单】专题05 解二元一次方程组
期中专项
¥429.00
¥429.00
67人浏览
【知识清单】专题06 二元一次方程组与实际应用
期中专项
¥204.00
¥204.00
94人浏览
【专项练习】专题01 相交线与平行线
期中专项
¥438.00
¥438.00
92人浏览
【专项练习】专题02 二元一次方程组
期中专项
¥373.00
¥373.00
87人浏览
七年级数学期中模拟卷(考试版A4)-(浙教2024-2025版)
期中试卷
¥472.00
¥472.00
83人浏览
七年级数学期中模拟卷(全解全析)-(浙教2024-2025版)
期中试卷
¥139.00
¥139.00
86人浏览
专题09:解分式方程(浙教版2024)(原卷版)
计算题专练
¥334.00
¥334.00
97人浏览
专题09:解分式方程(浙教版2024)(解析版)
计算题专练
¥385.00
¥385.00
78人浏览
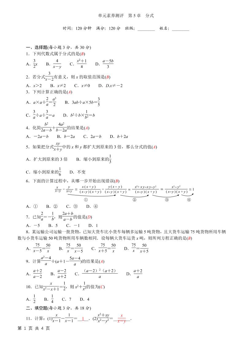
第5章 分式答案
单元测试
¥474.00
¥474.00
90人浏览
«
1
2
...
3716
3717
3718
3719
3720
3721
3722
...
4655
4656
»
--
客服
扫码添加客服微信
热线
官方客服
如遇问题,请联系客服为您解决
电话客服:18888888888
客服微信:webcn360
工作时间:9:00-18:00,节假日休息
公众号
扫码关注微信公众号
顶部